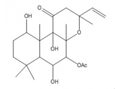
CASNo.:66575-29-9
Molecular Formula:C22H34O7
Molecular Weight:410.50
Appearance:White powder
Purity:≥98%
Identification method:Mass, NMR
Analysis method:HPLC-DAD or/and HPLC-ELSD
Mp:230~232℃
Extraction Source:Coleus forskohlii.
Usage:For the determination and identification, pharmacological experiments.
Storage:4℃Refrigerated, sealed, dark.
Expiration:2 years
Package:20mg, 50mg, 100mg, 1g, 10g, 100g, 1kg, 50kg... The company can provide a large number of high-purity Forskolin according to customer requirements.
Pharmacological effect:With pharmacological activity of anti-hypertensive, anti-metastatic and anti-glaucoma.
Quality certificates and identification reports will go along with the goods. Our company has a R & D team composed by experienced natural products chemist and plant taxonomists, and specialized in the extraction and separation of chemical composition from herbs. The company is major in producing high purity natural products suitable of pharmacological screening or structural modification for customs who are engaged in new drug research and development. We can also provide bulk level (kg) customization services. We have strict production process
and perfect quality control standards to ensure product quality and stability; comprehensive inventory and supply system make all products being in stock.
Quality commitment:If the product has quality problems, returns and replacement for any reason will be accepted.




